
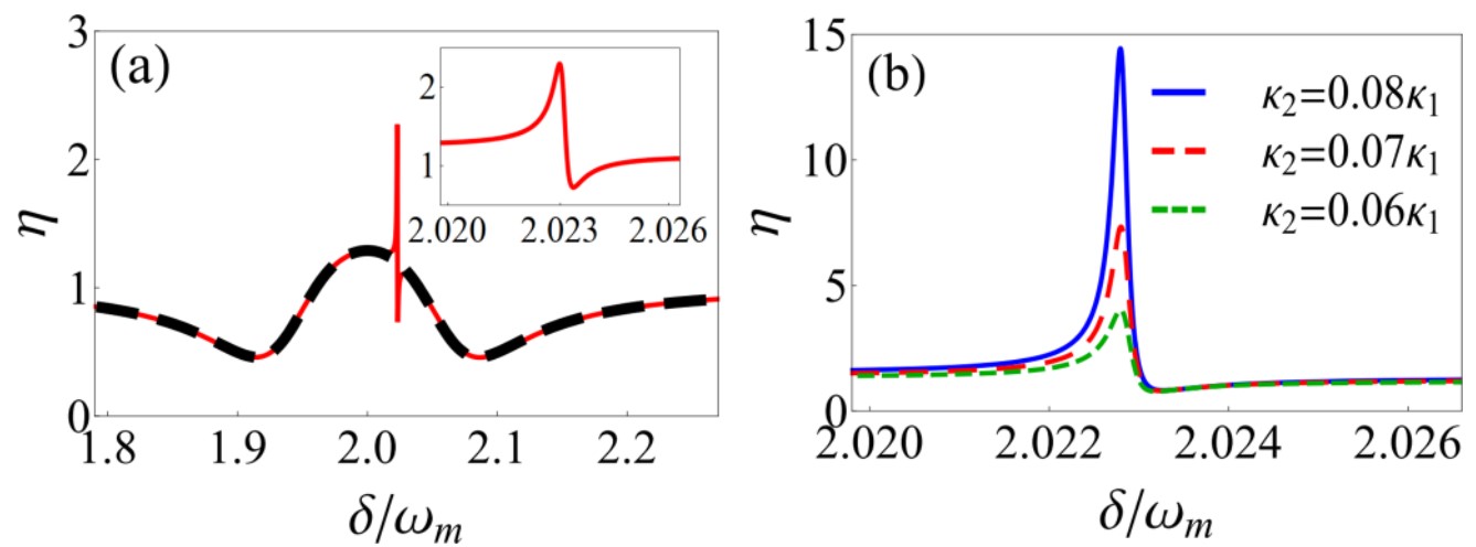
近年来对光力系统成为量子通信、量子计量等领域的研究热点。在最初的光力系统中电磁场和机械振子通过辐射压力耦合。尽管该模型可以用来研究许多有趣的光学现象,然而其非线性耦合强度仍然较弱。在另一种光力耦合模型中,光场和机械振子位移的二次方进行耦合,可以用来研究丰富的非线性光学现象。在我们的工作中研究了一个主动—被动耦合微腔系统。其中主动腔被非相干泵浦,被动腔与一个机械膜的位移二次方进行耦合(图1)。我们研究了系统对外界探测光的相应行为。我们发现当关闭主动腔的非相干驱动时输出光有明显的透明窗口(图2)。然而当打开主动腔的非相干泵浦后,主动腔会对被动腔形成有效的泵浦(gain effect)。可以发现在双声子共振区域输出光会被放大(图3)。这种放大效应随着对主动腔泵浦的增强而增强。有趣的是这种放大效应与两个腔之间的耦合强度有关。当耦合强度较强的时候,虽然光子更容易进入被动腔但是其能量也会显著偏离双声子过程的共振能量,这将导致放大效应减弱。在图4中我们可以看到在双声子共振频率附近产生了吸收窗口。这意味着我们可以通过调节两个腔之间的耦合强度来实现对光信号的放大与吸收。我们的结果发表在PHYSICAL REVIEW A 101, 023842 (2020)

图1. 装置示意图

图2. (a) 隧穿率J=0.4κ1 时被动-被动情况输出场的透射率。(b) 隧穿率J=0.8κ1 时被动-被动情况输出场的透射率。

图3. (a) J=0.4κ1 时主动-被动情况输出场的透射率。(b)不同隧穿率J 条件下输出场的透射率。

图4.(a) J=0.8κ1 时主动-被动情况输出场的透射率。(b)不同泵浦条件下输出场的透射率。
编辑:20060061
CopyRight 2025 © 必一·运动(B-Sports)官方网站 书记信箱:hengxinliu@sicnu.edu.cn 版权所有地址 :成都市龙泉驿区成龙大道二段1819号邮编:610101 电话:028-84480792 传真:028-84480793 网站管理 |