
邓宇,必一·运动(B-Sports)官方网站2018级硕士研究生,导师为季小玲教授。在攻读硕士学位期间,连续三年获得学业一等奖学金,并获得“科研标兵”、“三好学生”等荣誉称号。参加国家自然科学基金面上项目1项(项目批准号:61775152)。目前邓宇已通过“国防科技大学博士研究生申请-考核制招生”相关考核,并被国防科技大学录取为2021级博士研究生。在校期间科研工作突出,以第一作者(导师季小玲教授为通讯作者,必一·运动(B-Sports)官方网站为第一单位)在SCI的TOP期刊《Optics Express》上相继发表2篇高水平学术论文。
环绕在近地轨道附近的人造卫星给我们生活的方方面面带来了极大的便利,但人类近70年的太空探索活动在地球附近产生了大量的空间碎片,如果不加以改善,最终可能导致近地轨道彻底的不可用。利用地基激光清除空间碎片是解决这一问题的重要方法之一,其原理是采用地基高功率脉冲激光辐照碎片表面,使其产生蒸汽或等离子体反喷羽流,空间碎片获得速度增量而降轨,直至坠入大气层烧毁(如图1所示)。

图1. 地基激光空间碎片清理示意图(Light-Sci Appl (2014) 3, e159)
在这一应用中,高功率激光束经大气所受自聚焦效应将导致轨道靶面光束质量的下降。根据激光与物质相互作用的机理,空间碎片靶面上的均匀辐照是非常重要的。邓宇等人在考虑大气的非均匀性情况下,证明了对于平顶入射光,自聚焦效应达到一定程度(B积分达到3.5),激光束在远场将出现均匀辐照的特性(如图2所示)。并且提出了使均匀辐照特性出现在指定靶面处的调控方法,即通过调焦达到空间碎片靶面上均匀辐照的目的(如图3所示)。相关研究成果对激光地基空间碎片清理、地基激光小型卫星发射、激光约束核聚变等应用领域都具有重要意义,并在国际著名期刊《Optics Express》上发表(Opt. Express 27(10):14585, 2019: https://doi.org/10.1364/OE.27.014585)。

图2. 2D光强随传输距离的变化,靶面均匀辐照

图3. (a)靶面出现均匀辐照时透镜焦距所满足的条件,(b)适用范围
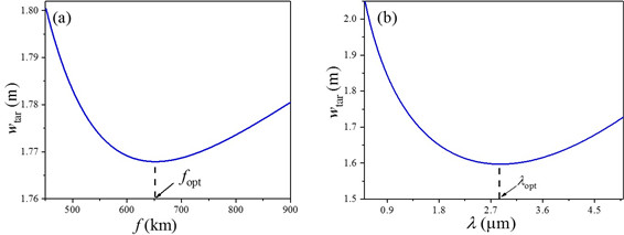
另一方面光束大气传输除了自聚焦效应外还将不可避免的受到湍流效应的影响,此外实际应用中光束总是存在部分相干性,因此研究自聚焦、湍流效应对部分相干光束大气传输特性的影响具有重要意义。在此前的研究中即使仅针对自聚焦效应也只得到了半解析的结果(Sci. Rep. 6(1), 30697 (2016))。邓宇等人采用“薄窗模型”将大气自聚焦效应导致的相位调制作用等效为初始场上附加的相位扰动,再结合部分相干光传输理论,首次得到了部分相干光在自聚焦和湍流效应共同作用下,束宽等光学参量的解析表达式。提出了激光系统以及发射参数的优化方案,即:(1)提高激光入射海拔以同时削弱自聚焦以及湍流效应对光束的不利影响(如图4所示);(2)调整透镜焦距以及入射波长以获得最小尺寸的靶面光斑(如图5所示)。相关研究成果对地基激光空间碎片清理、地基激光小型卫星发射应用领域具有重要意义,并在国际著名期刊《Optics Express》上发表(Opt. Express 28(19): 27927, 2020 https://doi.org/10.1364/OE.399401)。

图4. 不同入射高度下束宽随传输距离的变化

图5. 靶面光斑随(a)透镜焦距(b)入射波长的变化
编辑:物电必一·运动(B-Sports)官方网站
CopyRight 2025 © 必一·运动(B-Sports)官方网站 书记信箱:hengxinliu@sicnu.edu.cn 版权所有地址 :成都市龙泉驿区成龙大道二段1819号邮编:610101 电话:028-84480792 传真:028-84480793 网站管理 |